"Versorgung der Bevölkerung"
Unser Problem bestand darin, einen optimalen Rundweg für einen
Roboterboten zu entwerfen.
Die Route sollte so aussehen, daß man auf dem kürzesten
Weg genau jedes Haus mit Grundnahrungsmitteln
versorgt. Die Entfernungen zwischen den einzelnen Häusern sind
dem Boten bekannt. Der Bote hat nun das
Problem, für sich den kürzesten Weg zu finden, und dabei
jedes Haus genau einmal anzulaufen.
Unsere Aufgabe besteht nun darin, verschiedene Lösungen für
das Problem zu finden und die Effizient miteinander
zu vergleichen.
Der Entwurf des Lösungsplanes:
1. Schritt:
Als Erstes entwarfen wir mit den gegebenen Hausnummern (Knoten) einen
geschlossenen Graphen, und
markierten die Kanten mit den Entfernungen zwischen den Häusern.
der erste Graph
die Verbesserung
2. Schritt:
Aus dem Graphen entwickelten wir, ausgehend von einem beliebigen Punkt,
ein Baumdiagramm, das die möglichen
Wege des Boten widerspiegelt und dem man die Länge der Wege berechnen
kann.
Wegsumme: 128 104
120 91
91 104
139 120 130
139 130 128
3. Schritt:
Als weiterer Ansatz zur Lösung entstand dann eine Adjazenzmatrix.
Die Matrixwerte sind die einzelnen Entfernungen
zwischen zwei Häusern. ( z.B. a(1,2) = 20, a(1,3) = 23, a(1,7)
= nil )
| nil | 20 | 23 | 1 | nil | nil | nil |
| 20 | nil | nil | 4 | 15 | nil | nil |
| 23 | nil | nil | 36 | nil | 28 | nil |
| 1 | 4 | 36 | nil | 9 | 25 | 16 |
| nil | 15 | nil | 9 | nil | nil | 3 |
| nil | nil | 28 | 25 | nil | nil | 17 |
| nil | nil | nil | 16 | 3 | 17 | nil |
Eine Möglichkeit ist der Greddy-Algorithmus.
Dieser Algorithmus wurde erstmals 1957 von R.C.Prim entwickelt.
Der Algorithmus schreitet voran, indem er einem
Spannbaum durch Hinzufügen jeweils einer Kante "wachsen" läßt.
Da der Baum minimale Gesamtlänge besitzen soll,
wählt der Algorithmus immer die kürzeste Kante, um sie dem
Baum hinzuzuführen.
Dieser Algorithmus, MINSPAN genannt, benutzt eine Liste L von Kanten,
welche die Knoten in dem gerade im Aufbau
befindlichem Baum mit dem noch nicht aufgespannten Knoten verbinden.
Der Baum selbst wird mit T bezeichnet.
Am Anfang besteht T aus einem einzelnen, beliebig gewählten Knoten
u . Die Liste L enthält zu Beginn alle Kanten, die
mit u enden. Diese werden nach steigender Länge sortiert. Der
Algorithmus geht so weiter vor, bis alle Knoten abgelaufen
sind. Die kürzeste Kante ist einfach zu berechnen, da sie immer
das erste Element von L ist. Mit der neuen Kante wird die
neue Liste L erzeugt. Diese neue Liste L wird dann mit der nächsten
Kante verwendet. Und dies geht solange weiter, bis
alle Knoten verarbeitet wurden.
Dieser Algorithmus hat aber bei unserem Beispiel nicht zum Erfolg geführt.
Aus dem Grunde wird dieser Algorithmus
von uns nicht verwendet.
Formal kann man das Problem mit Hilfe eines ungerichteten Graphen ausdrücken.
Die Knoten in dem Graphen entsprechen
den Städten und die markierten Kanten dazwischen den Verbindungen
zwischen den Städten und ihren Entfernungen.
Allerdings ist das Problem des Handlungsreisenden nicht für jeden
Graphen lösbar. Der Graph muß die Eigenschaft besitzen, mindestens
einen Zyklus zu beinhalten, der alle Knoten enthält. Einen solchen
Graphen nennt man Hamilton'schen Graphen. Somit reduziert sich das Problem
des Handlungsreisenden auf die Suche nach dem kürzesten Zyklus in
einem Hamilton'schen Graphen.
Das Problem des Handlungsreisenden läßt sich mit Hilfe des 'Branch-and-Bound-Verfahren's' lösen.
An einem Beispiel soll das Verfahren erläutert werden.
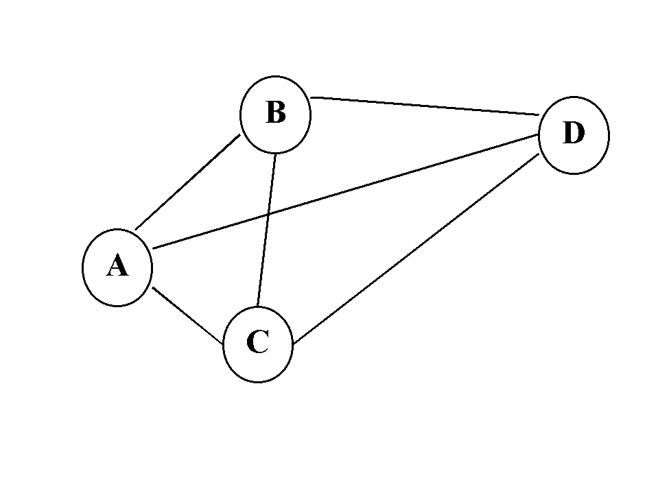
Gegeben seien vier Städte (A, B, C, D)
und ihre Entfernungen. Daraus ergibt sich dieser ungerichtete Graph.
![]() |

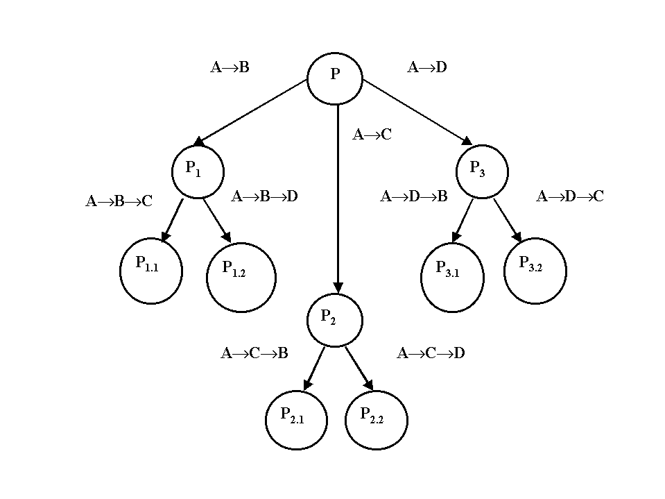
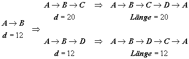
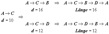
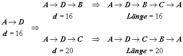
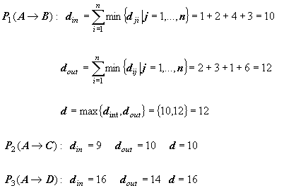
Welcher Weg für ihn der günstigste ist, wird mit Hilfe einer oberen und unteren Schranke abgeschätzt.
Da P2 die kleinste Schranke hat, wählt der
Handlungsreisende den Weg vom Startpunkt A nach C. Am Punkt C angekommen
muß er sich wieder entscheiden, ob er erst die Stadt B oder doch
erst die Stadt D besuchen soll. Daraus ergeben sich wieder zwei Teilprobleme,
die auch mit Hilfe des Branch-and-Bound-Verfahren's entschieden werden.
![]() |
![]() |
![]() |
Am Ende entscheidet sich der Handlungsreisende auf Grund des Branch-and-Bound-Verfahren's
für die Strecke von
A über C, D nach B und wieder zurück nach A. Diese
Route hat auch tatsächlich die kürzeste Länge und ist daher
die
optimale Lösung unseres Problems.
Die Lösung des Problems mit dem Branch-and-Bound-Verfahren
zeigt, das man nur eines der sich ergebenden
Teilprobleme weiter verfolgen muß. Damit reduziert sich ein solches
Problem erheblich.
Vorteil:
Literatur: Internet
Duden Informatik
Der Turing Omnibus, A.K.Dewdney
Bundeswettbewerb Info Bd7/8 Aufgabe 11. Wettbewerb
Datenstrukturen und Algorithmen, Ralf Hartmut Güting
Universität Potsdam - Didaktik der Informatik - 82260 Dok.
Universität Potsdam - Didaktik der Informatik - 79441 Dok.
Lehrstuhl für Didaktik der Informatik - 17639 Dok.
Lehre - 11483 Dok.
Lehrveranstaltungen - 11479 Dok.