Benutzer: gast • Besitzer: schwill • Zuletzt geändert am: 2002/10/14 08:10:54

Umfrage zu Einstellungskriterien und zur Einstellungssituation von Informatiklehrkräften in der Bundesrepublik Deutschland - in Bearbeitung

Herbst 2000


Andreas Schwill - Marco Thomas
Institut für Informatik - Universität Potsdam
 

Überblick - Absichten

Ausgelöst durch die Greencard-Diskussion verstärkt eine Reihe von Bundesländern auch die Ausbildung in Informatik an den allgemeinbildenden Schulen. Bereits seit Jahren kann aber die Ausbildung von Lehrkräften nicht mit dem steigenden Bedarf an Informatiklehrern mithalten, so dass immer noch weitaus mehr Lehrer ihre Lehrbefähigung in kostenintensiven Fort- und Weiterbildungsmaßnahmen erwerben müssen. Oft kann der Bedarf aus dem eigenen Bundesland aber auch dadurch nicht gedeckt werden.

Die Universität Potsdam ist einer der wenigen Standorte mit einem Lehramtsstudiengang Informatik. Wegen der großen Konkurrenzsituation mit dem Diplomstudiengang Informatik und den hervorragenden Aussichten in der Wirtschaft sowie den auf der anderen Seite unklaren Vorstellungen über die Einstellungschancen in den Lehrerberuf wandern mehr und mehr Lehrkräfte - oft noch nach dem 1. oder 2. Staatsexamen - in andere Berufszweige ab.

Um den vorhandenen und zukünftigen Lehramtsstudenten des Faches Informatik ihre glänzenden Zukunftsperspektiven - auch überregional - zu verdeutlichen, haben wir eine länderbezogene Datensammlung angefertigt mit Informationen über Einstellungskriterien und die aktuelle und geplante Einstellungssituation (offene Stellen, Einstellungskorridore etc.) von Informatiklehrkräften.
 

Datenmaterial

Angeschrieben wurden zum einen alle verantworlichen Ministerien der Bundesländer. Die Rückmeldungen liegen in der Tabelle 1 vor.
Da uns mitgeteilt wurde, daß die Ministerien oftmals nur widerwillig Informationen zu dieser Thematik herausgeben, um keine "Schleusen" für "unerwünschte Bewerber" anderer Bundesländer zu öffnen, wenden wir uns in jedem Bundesland jeweils zugleich auch an eine kompetente inoffizielle Stelle mit der Bitte, die Informationen in Erfahrung zu bringen und den Fragebogen soweit möglich auszufüllen. Diese Ergebnisse sind in Tabelle 2 aufgelistet.

Offizielle Informationen aus den Ministerien der Länder
Inoffizielle Informationen von befreundeten Instituten und Personen in den Ländern


Tabelle 1: Offizielle Informationen aus den Ministerien der Länder

Baden-W. Bayern Berlin Brandenb. Bremen Hamburg Hessen Meckl.-V. Nieders. NRW Rheinl.-Pf. Saarl. Sachsen Sachsen.-A. Schleswig-H. Thür.
Rücklaufdatum 31.1.2001 7.12.2000 23.11.2000 1.11.2000 23.11.2000 11.1.2001 2.1.2001 21.11.2000 8.1.2001
Zugelassene Fächerkombinationen mit dem Fach Informatik nur als 3. Fach, angesichts Bedarfssituation ist weitere Öffnung denkbar
  • Haupt-/Realschule/Gymnasium: nur als 3. Fach (Erweiterungsfach)
  • berufl. Schulen: 2. Fach in Kombin. mit berufl. Fachrichtung Metalltechnik, E-Technik
  • bel.
  • an Gymnasien, Haupt- und Realschulen jedes bel. andere allgemeinbild. Fach der Stundentafel
  • an berufl. Schulen jedes berufsbild. Fach

  •  
    bel. bel. außer Technik bel.
  • 1./2. Fach: Mathematik
  • 3. Fach: bel.
  • bel.
    Ist eine Einstellung mit einem Examen aus einem anderen Bundesland prinzipiell ohne Einschränkung möglich? im Rahmen der Husumer Vereinbarungen der KMK möglich
  • Hauptschule/Gymnasium: nein, Fächerkombin. muß zugelassen sein
  • Real-/berufl. Schule: ja
  • ja Einzelfallprüfung; Anerkennung hängt auch von den anderen studierten Fächern und deren Ausbildungsinhalten ab ja ja ja, im Rahmen der KMK-Vereinbarung; Einzelfallentscheidung Einzelfallprüfung;
    Anerkennung wird grundsätzlich großzügig gehandhabt
    Informatik wird im Land angeboten als
  • Gymnasium: Wahlpflicht 12-13
  • berufl. Schule: Wahlpflicht- oder Pflicht 10-13 je nach Fachbereich
  • Haupt-/Realschule: Wahl 8-10
  • berufl. Schule: Pflicht 8-9
  • Gymnasium: Wahlpflicht 11-13
  • Berufl. Schulen: Pflichtfach 11-13 je nach Lehrplan, Wahlpflicht 11-13
  • S1: verbindl. im Rahmen von ITG
  • S1: Wahlpflicht 9-10
  • Gymnasium S2: GK
  • berufl. Schulen: wg. Heterogenität des berufl. Schulwesens keine allg. Aussagen
  • Haupt-/Realschule: Wahlpflicht 7-10
  • Gesamtschule: Wahlpflicht 7-12
  • Gymnasium: Pflichtfach ITG 5-6, Wahlpflicht 9-13
  • Hauptschule: Wahlpflicht 9-10
  • Realschule: Wahlpflicht 8-10
  • Gymnasium/Gesamtschule: Wahlpflicht 9-13
  • Berufl. Schulen: ???
  • Regionale Schule (meist): Wahlpflicht 7-10, ITG Pflicht 7-10
  • Hauptschule: ITG Pflicht 7-10
  • Gesamtschule (meist): Wahlpflicht 7-10, ITG Pflicht 7-10
  • Gymnasium: Wahlpflicht 11-13
  • Berufl. Schulen: Pflicht 11-13
  • Mittelschule/Hauptschulgang: Pflichtfach 7-9
  • Mittelschule/Realschulgang: Pflichtfach 7-10
  • Gymnasium: Pflichtfach 7, Wahlpflicht 8-12
  • Berufl. Schulen: Pflicht 11-13
  • Regelschule: nein, aber ITG ab 7 in 28 Std.
  • Gymnasium: ITG wie oben, Wahlpflicht 11-12
  • Gesamtschule: Wahlpflicht 12-13
  • Berufl. Schulen: Pflicht 11-13
  • Kann Informatik an Schulen mit gymnasialer Oberstufe prinzipiell als Leistungskurs gewählt werden? nein nein ja nein, aber im Rahmen von Schulversuchen drei Gymnasien mit LK Informatik ja nein nein, nur unter folg. Vorauss.:
  • 2 ausgeb. Lehrer
  • Schüler haben in 9 u. 10 AG Informatik belegt
  • Einzelgenehmigung des KM
  • Soll der Stellenwert der Informatik zukünftig an den Schulen erhöht werden? ja Hauptschule/Gymnasium: ja ja ja, an berufl. Schulen (Informatik ist in Lernfeldern und Fächern integriert) ja ja ja
    Anzahl der in 2000 realisierten Neueinstellungen von Lehrkräften mit Informatik als einem von 2 Fächern keine Auswertung nach Fächern vorhanden Haupt-/Realschule/Gymnasium: -
    berufl. Schule: keine Bewerber
  • Haupt-, Realschule, Gymnasium: 0
  • Berufl. Schule: 4
  • ???, sehr gering
  • Haupt-/Realschule: 3
  • Gymnasium: 3
  • Berufl. Schule: 2
  • Gymnasium: 2
  • Berufl. Schulen: 2
  • Gymnasium: 2
  • Gesamtschule: 1
  • Berufl. Schule: 8
  • Berufl. Schule: 4
  • Gymnasium: 0, da keine Bewerber
  • Berufl. Schule: 1
  • Anzahl der in 2000 realisierten Neueinstellungen von Lehrkräften mit Informatik als 3. Fach keine Auswertung nach Fächern vorhanden
  • Hauptschule: 0
  • Realschule: 96
  • Gymnasium: 8
  • berufl. Schule: -
  • ??? ??? ??? ???
  • Gymnasium: 1
  • Gesamtschule: 1
  • Berufl. Schule: 1
  • Gymnasium: 3
  • Berufl. Schule: 1
  • Vorauss. Einstellungskorridor für Informatiklehrkräfte in den Jahren 2001 ff. hoher Bedarf an IT-Kräften in berufl. Schulen; Sonderprogramm: 30 zus. Direkteinstellungen jährlich von Spezialisten aus Uni, FH oder Berufsakademie
  • Hauptschule: nicht erforderlich
  • Realschule: 2001:120, 2002:120, 2003:100, 2004:100, 2005-2010:250
  • Gymnasium: weitere Informationen
  • berufl. Schulen: 2001:15, 2002:15, 2003:20, 2004:20, 2005-2010:20

  •  
  • 2001: 10
  • 2002: 20
  • 2003: 20
  • 2004: 20
  • 2005-2010: 50;

  • Besoldung: BAT IIa
    Einstellungschancen: gut, jedoch abh. vom Zweitfach keine Aussagen möglich jeweils mindestens:
  • 2001: 50
  • 2002: 50
  • 2003: 50
  • 2004: 50
  • 2005-2010: 250

  • davon als S2-Lehrer wahrscheinl. >50%
    keine gesicherten Zahlen, "großer Bedarf" zu erwarten keine Aussagen möglich keine Aussagen möglich, Bedarf ist aber durchaus vorhanden
    ggf. genannte Vorschriften
  • Gegenseitige Anerkennung von Lehramtsprüfungen und Lehramtsbefähigungen (Beschluß der KMK v. 5.10.1990)
  • Novellierung vom 22.10.1999
  • Verwaltungsvorschrift zur Einstellung der Lehramtsbewerber Richtlinien für die Einstellung von Lehrkräften
    Weitere Bem. und Hinweise Vorauss. Einstellungskorridor für Informatiklehrkräfte an Gymnasien
  • Lehramtsstudiengang: seit WS1997/98
  • Informatikunterr. wird - abgesehen von LK - durch autodidakt. ausgebildete Lehrkräfte erteilt
  • Bewerber mit abgeschl. Lehramtsausbildung und Lehrbefähigung für das Fach Informatik können sich bis 1.3. des lfd. Kalenderjahres bei den zust. Regionalschulämtern bewerben  Konzept zur Vermittlung von Medienkompetenz in einem Pilotprojekt "Medienkunde"



     

    Tabelle 2: Inoffizielle Informationen von befreundeten Instituten und Personen in den Ländern

    Baden-W. Bayern Berlin Brandenb. Bremen Hamburg Hessen Meckl.-V. Nieders. NRW Rheinl.-Pf. Saarl. Sachsen Sachsen.-A. Schleswig-H. Thür.
    Zugelassene Fächerkombinationen mit dem Fach Informatik nur als 3. Fach bel. nur als 3. Fach bel. bel. Kombination mit Fächern aus Fächerkatalog nur als Drittfach
    Ist eine Einstellung mit einem Examen aus einem anderen Bundesland prinzipiell ohne Einschränkung möglich? nein ja ja; Fächer müssen zum Fächerkanon nieders. Schulen zählen ja keine Einschränkungen bekannt ???
    Informatik wird im Land angeboten als
  • Realschulen: Wahlpflicht 8-10
  • Berufl. Schulen: Wahlpflicht 10-11
  • ITG in der S1
  • GK/LK in der S2
  • gewerbl-techn. und kaufm. Berufe in der berufl. Bildung
  • Haupt-/Real-/Gesamtschule/Gymnasium: Wahlpflicht 9-10 je nach Angebot der Schule
  • Gymnasium/Gesamtschule: GK 11-13
  • Berufsschulen: Pflicht 11-13
  • Haupt-/Realschule/Gymnasium/Gesamtschule: Wahlpflicht 9-10
  • Gymnasium/Gesamtschule/Berufsschule: GK/LK
  • Realschule/Gesamtschule: im Wahlpflichtbereich Naturwiss. 9-10 Informatikanteil möglich
  • Gymnasium: integrative ITG-Pflicht 5-10
  • Gymnasium: Wahlpflicht 11-13 (Abiturprüfung möglich)
  • Sekundarschule und Gymnasium: Wahlpflicht Moderne Medienwelten (mit Informatikanteilen) 7-10
  • Kann Informatik an Schulen mit gymnasialer Oberstufe prinzipiell als Leistungskurs gewählt werden? ja nein, nur 4. Abiturfach, ohne Fachzuordnung nein
    Soll der Stellenwert der Informatik zukünftig an den Schulen erhöht werden? ja ??? ?, eher nein
    Anzahl der in 2000 realisierten Neueinstellungen von Lehrkräften mit Informatik als einem von 2 Fächern keine ??? ??? Real-/Gesamtschule/Gymnasium: insgesamt ca. 10 ???, aber Einstellung nur als Angestellter mit 3/4-Stelle, bei schulscharfen Ausschreibungen (ca. 50) volle Stelle ???
    Anzahl der in 2000 realisierten Neueinstellungen von Lehrkräften mit Informatik als 3. Fach
  • Hauptschule: 0
  • Realschule: ca. 3
  • Gymnasium: ca. 10
  • Berufssch.: ???
  • ???
    zur Zeit werden alle Bewerber eingestellt
    ??? ??? ??? Qualifikation von 18 Gymnasiallehrern und 10 Lehrern 
    Sekundarschule im berufsbegleitenden Studium an der Uni Magdeburg
    Vorauss. Einstellungskorridor für Informatiklehrkräfte in den Jahren 2001 ff. je nach Angebot jährlich ca. 200, davon ca. 100 für S2 oder vgl. Besoldungsgruppe ???
    zur Zeit werden alle Bewerber eingestellt
    wird aktuell entschieden ??? ??? ???
    Weitere Bem. und Hinweise weitere Informationen
  • z.Zt. wird die Einführung als 2. Fach bearbeitet
  • Für den berufsb. Bereich ist eine neue Fachrichtung "Angewandte Informatik" (Arbeitstitel) geplant
  • <= 10 Lehramtsbewerber in den letzten Jahren, Abwanderung in die Industrie
  • ausführliche Situationsbeschreibung
  • info  Universität Potsdam - Didaktik der Informatik - 82260 Dok.
    info  Universität Potsdam - Didaktik der Informatik - 79441 Dok.
    Der Lehrstuhl Didaktik der Informatik der Uni Potsdam bearbeitet in Forschung, Lehre, Entwicklung und Service Fragestellungen zur Didaktik der Informatik, zur Gestaltung des Lehramtsstudiums Informatik, sowie zur Lehrerfortbildung und Lehrerweiterbildung
    info  Guided Tour - 39585 Dok.
    info  HyFISCH-HyperForum Informatik in der Schule - Universität Potsdam - 18077 Dok.
    Informieren, Kommunizieren und Produzieren über Didaktik der Informatik und Informatikunterricht an Schulen sowie über Aus-, Fort- und Weiterbildung von Lehrkräften
    info  Informieren - 11045 Dok.
    info  Schulpolitik (Informatik) - 222 Dok.
    info  Einstellungssituation/-kriterien für Informatiklehrkräfte - 20 Dok.
    info  Anerkennung von Lehramtsprüfungen und -befähigungen (KMK)
    info  Anschriften der Kultus- und Wissenschaftsministerien - *2000
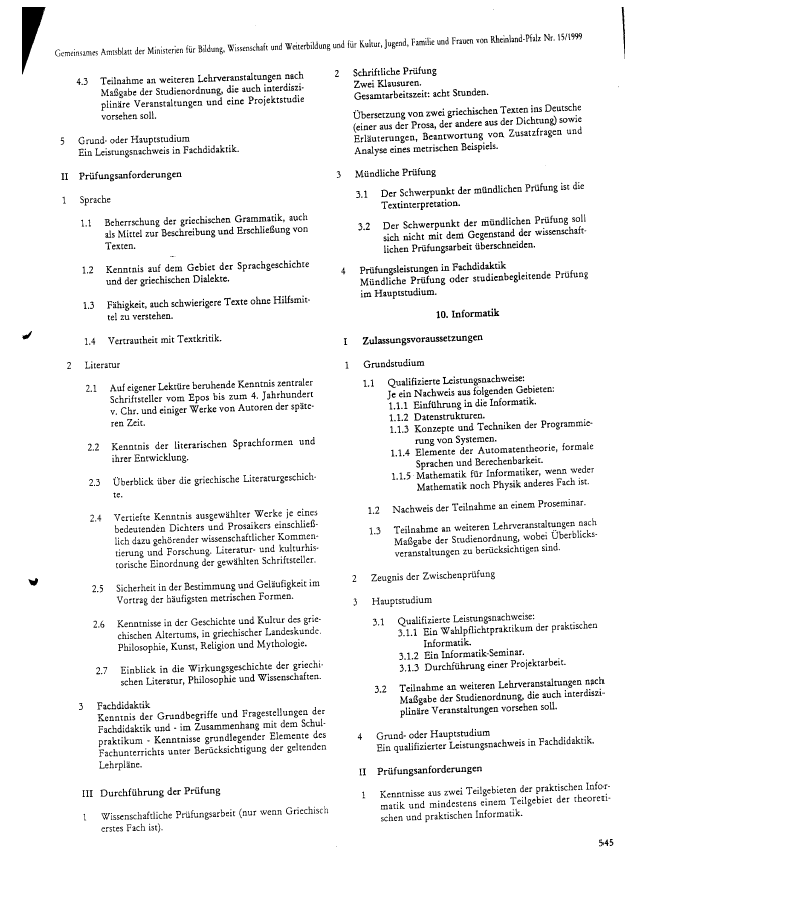
    info  Auszug aus dem Amtsblatt Rheinland-Pfalz 1
    info  Auszug aus dem Amtsblatt Rheinland-Pfalz 2
    info  Brandenburgisches Lehrerbildungsgesetz - 1999
    info  Einstellung von Lehramtsbewerbern aus anderen Bundesländern in den bayerischen Schuldienst - 2000
    info  Gegenseitige Anerkennung von Lehramtsprüfungen und Lehramtsbefähigungen - KMK-Beschluß 22.10.1999 - 1999
    info  Hessen - Stellenausschreibung
    info  Konzept zur Vermittlung von Medienkompetenz in einem Pilotprojekt "Medienkunde" - Thüringer Kultusministerium - 2000
    info  Kultusminister wollen für Lehrerberuf werben - DPA - 2001
    info  Lehramtsstudium - Informationen und Empfehlungen - MBFJ Rheinland-Pfalz - 2000
    entnommen aus: www.mbfj.rlp.de
    info  Lehrer gesucht - In Nordrhein-Westfalen sollen auch Pensionäre und Studenten unterrichten / Bedarf in Hessen ebenfalls groß - Frankfurter Allgemeine - 7.12.2000
    info  LPO Bayern Gymnasium.gif
    info  LPO Bayern Realschule-1.gif
    info  LPO Bayern Realschule-2.gif
    info  Situationsbeschreibung aus Rheinland-Pfalz - 2000
    info  Verband Bildung und Erziehung VBE
    info  Vorauss. Einstellungskorridor für Informatiklehrkräfte in Bayern - 2000
    info  Weitere Stellenangebote für Lehrer