FB Informatik, LS 2
Universität Dortmund
D-44221 Dortmund, Germany
E-Mail: philipp.kersting@gmx.de,
wegener@ls2.cs.uni-dortmund.de
In order to discuss all these highly relevant questions one has to understand how the Pentium divider works. The first essential message is that the Pentium divider is not a hardware implementation of the school method of division. We strongly believe that it should be common knowledge that hardware realizations of the basic arithmetic operations differ from the school methods for these operations. Schoolgirls and schoolboys do not learn division as an abstract problem and the school method as a special algorithm for the solution of this problem. Division is "defined" by the division algorithm known as the school method for division. The same holds for addition, subtraction, and multiplication.
In Section 2, we discuss why algorithms for the basic arithmetic operations which are useful for humans have to differ from algorithms useful for hardware realizations. This includes an important learning goal. Solutions can be considered as good, useful or efficient only if one has agreed on the aims, more precisely on the criteria to evaluate the solutions. It will be surprising to learn that this is already true for methods to add numbers. In order to design an essentially new solution it is necessary (independent from the problem) to overcome the usual way of thinking. The consideration of adders, multipliers, and dividers different from the school methods supports such creative thinking.
Moreover, this subject supports algorithmic thinking and considers many algorithmic properties, e.g., divide-and-conquer, dynamic programming, recursion, and approximization. In particular, one directly is confronted with the problem of parallelization and the analysis of the efficiency of algorithmic solutions. All these issues are discussed for problems which "obviously" are important. It is easy to introduce the subject, since the problems are "well known". Finally, the subject has the advantage that (most certainly) nobody knows much about the subject in advance.
We present the main principles of algorithms for the basic arithmetic operations. Many of the technical details are presented in the appendix. In Section 3, we discuss the school method for addition, the carry-look-ahead adder, the conditional sum adder, and the Ladner-Fischer adder. Section 4 contains some short comments on subtraction. Section 5 is devoted to multipliers, i.e., the school method, the Wallace tree, the Karatsuba and Ofman algorithm and the use of redundant number representations. Finally, Section 6 considers dividers, i.e., the school method, Newton's algorithm, the IBM method, and the method leading to the Pentium bug. In all these sections we introduce the main algorithmic ideas and the methods to analyze their efficiency. Details can be found in the monographs Wegener (1987, 1996, 2000) and in journal papers cited in these monographs. We also discuss the didactical aspects of these algorithms. In Section 7, we add some remarks on hardware and software verification, since the Pentium bug was the starting point of our discussion. Some specific didactical issues are discussed in the corresponding sections. In Section 8, we present the general didactical background. We try to argue why the considered subject, hardware realizations of basic algorithmic operations, is a meaningful subject in computer science courses of high schools. We finish with some conclusions.
For humans solving the arithmetic problems with "pencil and paper", the school methods are unsurpassed. The learner expects them to be "optimal". However, which aspects are important for solutions to be adequate for humans?
The methods have to be efficient or fast with respect to sequential computations. The human brain works in parallel while processing all the information from the sense organs but (almost all) humans cannot process arithmetic problems in parallel. Humans perform one basic operation per step. An addition or multiplication of digits is such a basic operation. However, not each efficient algorithm is useful for humans. Here, efficiency is calculated as the number of basic operations. Many people have already difficulties with the school method for division. (It is a nice experiment to ask people on the street to calculate 53701 : 83 = 647.) A good algorithm for humans has to be simple enough that humans remember the algorithm and can apply it without thinking about it and without having difficulties with its basic operations. The school methods are iterative algorithms with simple modules.
The aspect of simpleness is useful also for hardware realizations but not essential. A simple algorithm supports the design of the processor and makes the design cheaper. However, this is quite unimportant for the mass production of processors. A simple algorithm can simplify the verification. Nevertheless, chip size and number of operations per second are the main issues. Chip size is closely related to the number of basic operations which are binary operations on boolean inputs, e.g., AND, OR, NOT, EXOR. Hence, as for humans we try to minimize the number of basic (boolean) operations. Hardware works in parallel. Operations can be performed in parallel if all inputs of the operation are available. This leads to the model of a (combinational or boolean) circuit which includes all important issues.
A circuit is a directed acyclic graph with inputs (no incoming edges) representing boolean variables and constants, and gates (one or two incoming edges and a gate type like NOT for a gate with one incoming edge and AND, OR, or EXOR for two incoming edges). The gates are numbered sequentially, i.e., an edge leading from Gi to Gj implies i<j. Some gates are declared as output gates. The sequential computation is a gate-by-gate computation. For an actual input the inputs of a circuit all realize boolean values. If we know the values realized at G1,..., Gi-1, we know the input values of Gi and can apply the boolean operation corresponding to Gi to these values in order to obtain the value realized at Gi. The example in Figure 1 implements a full adder for the bits x and y and the carry c. The outputs are the sum bit s and the new carry c*.
![]() |
The circuit size is a measure of the sequential time complexity and is equal to the number of gates, the example circuit has size 5. Circuit size is a simplified measure for the hardware cost of a circuit. However, G1 and G2 can be evaluated in parallel, all other gates have to "wait", since an input signal is not yet calculated. In Step 2, G3 and G4 can be evaluated and, finally, in Step 3, G5 can be evaluated. Let l (G) be the level of G, i.e., the length of a longest path from some input to G. All gates G where l (G) = i can be evaluated in the ith step and not earlier. The largest l (G) of all output gates is called the depth of the circuit and represents the parallel computation time of the circuit which is a quite realistic but nevertheless simplified (there are delays on wires and at gates) measure for the computation time of a circuit. Circuits should have small size and small depth. However, it is not for all problems possible to minimize size and depth simultaneously.
We have seen that it is quite easy to introduce and motivate the problems.
The learner sees that it is important which aims we try to fulfill. Humans
and processors prefer solutions with a small number of basic operations
but humans prefer a simple algorithm while processors prefer an algorithm
leading to small circuit depth. Moreover, the problem has become complicated,
since we try to minimize size and depth simultaneously. This is an important
issue. Many realistic problems are not classical optimization problems
where a function f:
S->
(S is some set) has to be optimized, e.g., minimized. Often one
has to deal with problems f
: S->
m (m>1 but not very
large) and solutions can be incomparable. If f (a)=(3,4)
and f (b)=(6,2) and the aim is minimization, some people
may prefer a while others prefer b. The new aim is the following.
The best thing is to minimize all coordinates of f (in our case
size and depth) simultaneously. If this is not possible, one should present
a list of solutions, in the best case for each possible circuit size s
a circuit of size s and minimal depth among the circuits of size
s.
Hence, the learner has to cope with multi-objective optimization in a very
natural setting.
The full adders work sequentially, since the full adder at position i has to wait for the carry ci-1 from position i-1. This leads to an upper bound of 3n-2 for the depth. However, ci-1 is used not before level 2 of the full adder at position i (see Figure 1). The gates G1 and G2 of all copies of the full adder can be evaluated in parallel in the first step. Afterwards, the full adders need only two further steps proving that
The investigation of the school method for addition is very simple and one learns to work with circuits. Moreover, we can discuss the results. The output bit sn depends on all 2n input bits. Since all basic operations combine only two signals, 2n-1 gates are necessary to compute sn-1. This shows that linear size is the best we can hope for. Hence, the school method for addition has all issues of a good solution for humans. Indeed, one can mention that it has been proved that 5n-3 is the optimal size of adders, i.e., an adder with 5n-4 gates is impossible.
The depth of the school method for addition is roughly by a factor of
2.5 smaller than its size. Hence, it is not a purely sequential solution.
Is linear depth a satisfactory solution? The answer is no. A background
information: Each boolean function on n variables can be realized
by its DNF (disjunctive normal form) with depth n+
log
n
.
For teaching the following example is instructive. Compute the disjunction
(OR) of n inputs. The above considerations show that size n-1
is necessary. Using a balanced binary tree we obtain a solution with optimal
size n-1 and depth
log
n
(a simple argument shows that
log
n
is optimal, since binary trees with n leaves need depth
log
n
).
This leads to the aim to obtain depth bounds which are small with respect
to log n where n is the length of the input. The school method
for addition has a large depth and is inadequate for hardware solutions.
The first idea is to start with the school method and to partition it
into three modules in order to see which part is hard to parallelize. Step
1 consists of n parallel half adders computing ui=xi
yi
and vi=xi
yi(
= AND,
= EXOR), size 2n, depth 1. Step
2 computes the carry bits cn-1,...,
c0.
This is the hard part. Step 3 computes the sum bits where s0=v0
(no carry at position 0),
sn=cn-1 (the
carry of the addition) and si=vi
ci-1,
1
i
n-1, since si
is the EXOR-sum (the less significant bit) of
xi,
yi
and ci-1, size n-1, depth 1.
Here we have applied the principle of problem modularization. Now we discuss how carries are produced. The following example is illustrative and will be used as the running example of this section.
![]() |
Now we can discuss how addition works. At position i, there are four different inputs, namely (0,0), (0,1), (1,0), and (1,1). The result is the same for (0,1) and (1,0). The pair (ui,vi) contains the essential information :
(ui, vi)=(0,
0). Such a position is called E, since it eliminates carries from
the previous positions. The partial sum is 0 and even a carry from the
previous positions cannot produce a carry at this position.
(ui,vi)=(0,1).
Such a position is called P, since it propagates carries from the
previous positions. The partial sum is 1 and we obtain a carry at this
position if and only if we obtain a carry from the previous positions.
(ui,vi)=(1,0).
Such a position is called G, since it generates a carry. The partial
sum is 2 and this implies that we have a carry at this position.![]() |
Now it is easy to see that the carries at the position 15, 14, and 13 are generated at position 13 and then propagated. The G-position 7 generates a carry at position 7 which is eliminated at position 8, the G-position 6 generates a carry for this position. Finally, the G-position 2 generates a carry at position 2 which is propagated to the positions 3, 4, and 5. This example directly leads to an algorithmic idea:
i
such that position j is of type G and all positions
j+1,...,
i
are of type P.
) we obtain the formula

vj+1
...
vi
consists of at most n terms and can be realized in depth
log
n
.
The same holds for the disjunction (OR) of the resulting terms. Adding
the depth for the other two steps of our general approach we get
log n
+ 2
n3
(the sum of all
(
)2
=
n2 leading to a lower bound
of
n3.
There are n terms all smaller than
n2
+
n leading to an upper bound of
n3
+
n2. Cubic size is not acceptable
for the hardware realization of adders. The learner is confronted with
a size-depth trade-off if she or he compares the school method with the
carry-look-ahead method.
Here we have a typical situation in computer science. Methods in their pure form have some good properties but also bad properties. Better solutions can often be obtained as compromises. Let n=2k and m=2l<n. We obtain an n-bit-adder by using a carry-look-ahead adder for the last m bit positions which also leads to the carry for the next block of m positions where again a carry-look-ahead adder is used.
![]() |
It is useful to play with parameters in order to determine size and depth for different values of n and m. In general, there are n/m blocks which work sequentially and which are pure carry-look-ahead adders for parameter m. The total depth is


The Ladner-Fischer method (LF) is based on one further idea. We have used the fact that each position is one of the types E, P, or G. Now we consider E, P, and G as functions taking as an input the carry bit c from the previous position and computing the carry bit of the current position. It follows by case inspection that
| E(c) | = | 0, | |
| P(c) | = | c, and | |
| G(c) | = | 1. |
For functions the operation composition denoted by "o" is well defined. We are lucky that the composition of the functions E, P, and G leads to a function E, P, or G. We have
{E,P,G} be the type of the i-th position. Then
Bi=Aio
... oA0 contains the full information
on carries, namely ci=Bi(0), since
there is no carry to position 0. Hence,
ci=1 if
Bi=G.
In order to compute Bi we have to solve two problems.
The first one is a typical hardware problem. How can we realize "o"?
Let A, A'
{E,P,G} be given by (u,v) and (u',v'),
respectively. Remember that
v'.
(v
u').
{E,P,G} we have to compute all Bi=Aio
... oA0. We consider "o" as a
basic circuit operation which later is replaced by the small circuit constructed
above. We are interested in a solution with small size and depth. This
is an interesting problem. Moreover, this problem has many further applications
for the parallelization of algorithms. The solution is a simple recursive
algorithm based on the simple fact that Bi = AioBi-1.
We consider the algorithm only for n=2k (the typical
situation in hardware):
i
n/2-1,![]() |
Here the learner sees that the hardware realization is the iterated version of the considered recursive algorithm. The recursive version is adequate for the analysis of the algorithm. Step 1 and Step 3 need depth 1 each and the common size of these steps equals n-1. We simplify the analysis by estimating the size by n. Step 2 is an application of the algorithm for input size n/2. Hence, the total size is bounded by

9n
and
4 log n
+ 2.Altogether, we have designed with simple methods an adder which leads to a very efficient hardware solution. It has simultaneously linear size and logarithmic depth. It has a regular structure (see Figure 5) simplifying the hardware realization. Everyone will agree that the Ladner-Fischer method is not useful for humans, since it is already too complicated. Moreover, the number of basic operations is by 80% larger than for the school method.
Another adder may be introduced to discuss the risk if recursive algorithms are used without further thinking. We discuss the conditional sum adder (CS) in the appendix A1.
Altogether, addition is an operation with an amazing variety of possible solutions. Teaching these methods has the advantage of presenting many different fundamental methods.
b.
We just have to work with another type of carry. The situation is more
complicated if we allow negative integers as inputs. The usual representation
by a sign bit and the absolute value of the number leads to the consideration
of different cases. It is possible to use this subject for the introduction
of alternative representations of numbers like the 2-complement representation.
This representation has the advantage of allowing a unified approach for
the subtraction of positive and negative integers. It is useful to teach
the fact that the binary and the decimal representation of numbers (with
sign bit) are not the only useful representations of integers. We omit
the details.
![]() |
We multiply the first number by each digit of the second number, perform the appropriate shifts, and compute the sum of the resulting numbers. All empty entries in Figure 6 implicitly represent zeros. In order to parallelize this algorithm we already have difficulties with the carries generated during the multiplication of numbers by digits. It is useful to introduce already here a trick which also is used later. We represent the result of the multiplication of a number by a digit by two numbers whose sum is the real result. The first number consists of the carries and the second one of the other digits, see Figure 7.
![]() |
The crucial fact is that we now can multiply each digit of the first number by each digit of the second number in parallel. Hence, the first step can be performed in depth 1. Afterwards, we have to compute the sum of 2n instead of n numbers. This method also can be interpreted in the following way. We multiply the first number (4752) by a digit, i.e., 8, and the result is not the unique decimal representation of the product but a redundant representation of the product namely by two numbers whose sum is equal to the considered product. Hence, the result is only an intermediate one but the parallel execution time has been reduced significantly. The message is the following one. It may be useful to work with redundant number representations and to transform the result only in the last step into the unique representation by decimal numbers.
However, in the case of binary numbers the multiplication of numbers by bits cannot lead to carries and this step is easy. Afterwards, we have to compute the sum of n (2n-1)-bit numbers where many positions are known to be equal to 0. In particular, it is known that the result is a (2n)-bit number. Here we describe the methods without the discussion what can be saved because of the fixed 0-entries. For these details see Wegener (1996).
The school method for the addition of n numbers has to deal with
the problem of carries and these problems are more difficult than for adders
working on two numbers. Hence, a good idea is to reduce the problem to
subproblems which have been solved before - the addition of two numbers.
In a first step we consider the addition of two numbers as a basic operation.
The addition of n numbers can be realized by a balanced tree with
n-1
operations and depth log n (in order to simplify the discussion
we assume that n=2k). Each basic operation can be replaced
by a Ladner-Fischer adder of size
(n)
(
describes the growth order precisely, O describes
an upper bound and
a lower bound) and depth
(log
n).
The whole method is called SMLF (school method with Ladner-Fischer adders)
and
(n2)
(log2n).The method SMLF is quite efficient and it seems hard to beat these bounds.
It seems to be necessary to multiply each pair of bits leading to n2
basic operations. It also seems to be necessary to compute the sum of nn-bit
numbers. An adder for two n-bit numbers needs depth
log(2n)
.
Nevertheless, a simple but clever idea is sufficient to beat the depth
bound - even without increasing the size.
The method is based on the idea discussed at the beginning of this section:
the use of redundant number representations. Let add
(p
q) denote the problem to compute the sum
of p numbers of bit length at most 2n where the result can
be represented by at most q numbers whose sum equals the sum of
the given p numbers. We are faced with the problem add
(n
1). The basic operation add
(2
1) needs depth
log(2n)
.
However the problem add (3
2) can be solved in depth 3. We use a so-called carry save adder (CSA gate)
which consists of full adders for each bit position. The first number of
the result consists of the sum bits and the second number consists of the
carries. Using n-2 CSA gates whose size altogether is
(n2)
we reduce the number of summands from n to 2. The sum of the resulting
two numbers is computed by a Ladner-Fischer adder. What about the depth
of this approach? If we have 3m+i, 0
i
2, summands, we can apply m CSA gates in parallel and obtain 2m+i
summands. Hence, the number of summands is roughly reduced by a factor
of 2/3 and we expect that the depth with respect to CSA gates is approximately log3/2n
(remember that
). An easy calculation shows
that depth
log3/2n
is sufficient. Figure 8 shows an example of this method for n=16.
![]() |
Since the basic method is still the school method, we call this method SMWT (school method for multiplication with Wallace trees). The graph of CSA gates is known as Wallace tree. This notion is questionable, since the Wallace tree is not a tree. Nevertheless, this notion is common. It is obvious that
(n2)
log3/2n
(since CSA gates have depth 3) and the smallest depth of a Ladner-Fischer
adder for (2n)-bit numbers equals 2
log
n
+ 4. Hence,
log n
+ 3
log3/2n
+ 5
7.13 log n + O(1).Another "obviously insurmountable bound" is the n2-bound for the size. In A2 we show how to beat this "obvious" bound.
The conclusion is: Doubt any bound which has not been proved! Schönhage
and Strassen have designed a multiplier of size
(n
log n loglog n) which for large n is the nowadays
most efficient multiplier. A software implementation of this implementation
has real applications. There are almost no hardware implementations of
this method, since this method is only used for the multiplication of n-bit
numbers where n=512, 1024, or even 2048. Who needs such large numbers?
Everybody who likes to use computers for e-commerce or e-cash and everybody
who uses the computer for private communication. Then messages have to
be enciphered and deciphered and messages have to be signed by digital
signatures. Modern public key cryptography works with very long numbers
as considered above.
However, there is still a problem. The algorithms of Karatsuba/Ofman
and Schönhage/Strassen beat the school method only for quite large
n,
e.g., n>64 for Karatsuba/Ofman and n very large for Schönhage/Strassen
(see Wegener(1996)). It is not useful to apply the new methods in pure
form. Both methods are divide-and-conquer algorithms. Hence, we can solve
subproblems which are small enough with another method. Karatsuba and Ofman's
"mixed" method beats the school method for n
16. The best application of the algorithm due to Schönhage and Strassen
is to switch for small enough subproblems to the Karatsuba and Ofman method
which itself switches for small enough subproblems to the school method.
This combination of methods is a typical idea for real applications. Multiplication
is perhaps the simpliest example for this essential trick.
The interested reader asks for the depth of the new methods. The algorithm of Karatsuba and Ofman first performs two multiplications recursively, then three additions, then another multiplication, and finally a subtraction. This makes it hard to work with CSA gates. It would be better to have a redundant number representation which allows the addition and subtraction of two numbers in constant depth. We introduce in A3 such a representation, the so-called radix-4 representation. This is an advanced topic for high school courses. Nevertheless, it is an interesting topic and this type of number representation is used in modern computers (see the Pentium divider in the next section).
The multiplication of very large numbers is nowadays a very important operation and can be performed very quickly with methods different from the school method for multiplication. The consideration of these methods includes the introduction of different redundant number representations (sum of two numbers, radix-4), the parallelization by balanced trees (binary trees and Wallace trees), divide-and-conquer, and also the investigation of mixed forms of different algorithms.
(n2)
and the depth by
(n
log
n). Everything gets easier for binary numbers. The multiplication
of a bit by the divisor is trivial and we only have to try whether 1 is
the next bit of the quotient. However, this does not change the asymptotic
results and
(n2),
(n
log n).Another approximation method is the so-called IBM method which has the same asymptotic depth O(log2n) and a size which is by a factor of O(log n) larger than the size of the multiplier which is used. This method is described in A5.
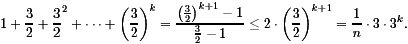
The only known dividers whose depth is O(log n) are of theoretical interest only, since their depth is only for very large n smaller than the depth of the considered O(log2n) dividers. Hardware dividers work with numbers whose bit length is bounded by 128 and most often by 64. If n=64, log n=6 and log2n=36. Hence, constant factors and additive terms play a major rule. This opens a discussion when and why assymptotic results are of interest. For fixed n (not too large) the school method for division is a serious opponent to the other dividers.
The Pentium divider is a very clever variant of the school method. Not all design details are known but we can be sure that the following radix-4 SRT divider follows the same design principles as the Pentium divider. The design principles have been described in 1968 proving that (even in computer science) fundamental ideas do not become antiquated quickly. In the following we discuss essential features of this divider. The algorithm works in rounds and in each round one "piece" of the result is produced. Hence, the method cannot avoid that the depth grows linearly with the length of the result. It is efficient for numbers which are not too long, since each round can be realized very efficiently.
The school method has to consider the whole dividend and the whole divisor
in order to compute the next bit of the quotient. Here the result is represented
as a radix-4 number (see A3). Because of the redundancy of radix-4 representations
it turns out to be sufficient to work with a small part of the divisor
d
and a small part of the remainder r (which initially is the dividend).
With some appropriate shifts we can ensure that 1
d
< 2 and 1
r < 2. This implies that
the essential invariant of this method namely
3 . r
8 . d
{ - 3, - 2, - 1, 0, + 1, +2, + 3} and we have to multiply qi
by d in order to compute the new remainder. This is trivial or a
shift ifqi
{ - 2, - 1, 0, + 1, + 2} and more expensive ifqi
{ - 3, + 3}. Hence, only values fromqi
{ - 2, - 1, 0, + 1, + 2} are allowed. This implies that r/d
has to be bounded by the largest number representable by these entries.
The largest number consists of entries 2 only. Since only the positions
i
0 are allowed, the largest number is the sum of all 2.4i,
i
0, which equals 8/3. In the same way we obtain the lower bound -8/3. Both
inequalities together lead to the described invariant.
If we choose q0=2, the largest representable number still is 8/3, the smallest number is -8/3+4=4/3. In a similar way we obtain:
3r
8d,
3r
5d,
3r
2d,
3r
- d,
3r
- 4d.
partial division) of size 128x16 contains
the results for all possibilities and q0 is computed
by table-look-up.
The radix-4 SRT divider uses some more tricks. One of them is the following.
Having chosen q0 we have to compute the new remainder
which equals 4 . (r-q0.d
) (the shift in the school method is replaced by a multiplication by 4,
since we work with radix-4 numbers). We have seen that the computation
of q0.d
is easy, since q0
{-2,-1, 0, +1, +2}. In order to simplify the subtraction the remainder
is represented as sum of two numbers (another redundant representation)
allowing the use of CSA gates for subtraction (see Section 5).
Although the design of this radix-4 SRT divider is complicated, there is no real obstacle to discuss it in high school. Moreover, it is important to see not only toy examples but the design of a part of a processor which has been sold many million times. The Pentium bug is discussed in the next section.
We finish this section with a small example:
+001.101001 : 1.001101or
r=1.101001 and d=1.001101.The Pentium divider only considers the prefixes r'=+001.101 (or 13/8) and d'=1.001 (or 9/8). This implies 4d' =
<
= 3r'.
Hence, one may expect that q0=2 is allowed as the first
piece of the quotient (as radix-4 representation). However, it is possible
that the dividend is r"=13/8 and the divisor contains many ones
following 1.001. The divisor may be close to d"=
.
However, 4d"=
>
, d=
and 4d=
<
=3r
and q0=2 would be allowed. However, the entry +2 is forbidden
as an entry of the PD-table in row +001.101 and column 1.001. This shows
that the task to compute legal PD-entries is not easy.
Indeed, it is not obvious that there is at least one legal input for each PD-entry. However, the division method works and a PD-table with legal entries exists.
S. The problem is not
trivial, since R and S may be quite different solutions of
the same problem, i.e., the school method and Newton's method for division.
Indeed, it is known since a long time that the general verification problem for software products is undecidable while the problem for hardware products is coNP-complete. It is not necessary to define these notions. The information that these problems are provably difficult is enough.
For the problem of circuit verification we have to distinguish three subproblems:
S'
and R
R' are
guaranteed. The new representation types should have the property that S'
R'
can be checked efficiently. However it may happen that
S' is exponentially
larger than S and/or R' is exponentially larger than R.
Then our verification approach fails. The state-of-the-art representation
type for this approach is the representation by ordered binary decision
diagrams (OBDDs, see Wegener (2000)). Nevertheless, this approach is not
strong enough to verify multipliers and dividers (even for 16-bit numbers).
However, the Pentium divider is an iterative algorithm and it is possible
to verify the correctness of one round of this approach. The famous Pentium
bug could have been found with such an approach.
There are many possibilities to obtain an incorrect gate list from a
correct algorithm. The Pentium bug was caused by some faulty entries in
the PD-table. This table has 211 entries and extensive testing
should consider many more than 211 entries. However, the bad
entries were extreme cases where 3r
8d.
Since the Pentium divider starts with numbers 1
r<2
and 1
d<2 there are only few inputs where
these "extreme entries" have to be used implying that even intensive testing
had a good chance of missing the bug. This leads to the conclusion that
verification is essential, a conclusion necessary to be taught very early
in computer science courses.
Therefore, we suggest to introduce the prefix problem before starting with the Ladner-Fischer adder and to introduce it for situations where the associative operator is the simple addition of numbers. To motivate the prefix problem for "+" we have two suggestions. The management of a company has for each day of the last year the information, how many pairs of shoes have been sold and how many pairs of shoes have been delivered by the producers. Now they are interested in the stock at each day of the last year. Hence, they are faced with a prefix problem. The same is true for the soccer fan who has a list of the results of the last championship. Now she or he likes to produce the league situations after each round. For each team three prefix problems have to be solved: points won, goals scored, and goals scored by the opponents.
Definition and a first solution of the special prefix problem
We define the special prefix problem and then describe how the learners
will start with the naive algorithm and how they will find (supported by
the teacher) better algorithms.
The special prefix problem is to calculate all pi=xi+...+x0,
0
i
n-1. We have described
above how we can motivate this problem in different ways. The next step
is to introduce graphical representations of algorithms where
is a black box for the addition of two numbers. We have no doubt that each
learner is able to present an algorithm for the special prefix problem.
At least, the naive algorithm, computing pi=xi+pi-1
sequentially is too easy to be missed. Figure 9 is the graphical representation
of this algorithm and Figure 10 a simple abstraction. This abstraction
is useful, since it abstracts already from the special operator.
![]() |
![]() |
![]() |
| Figure 9: The naive algorithm for the special prefix problem. | Figure 10: An abstract form of the naive algorithm. |
Development of a better algorithm
Divide-and-conquer algorithms (like the conditional sum adder, see
A1) often partition the problem into two subproblems of the same type,
solve the two subproblems recursively and then combine these solutions
with some extra work to a solution of the problem. This should be known.
Here our purpose is to reduce the depth of the inherently sequential naive
algorithm. We start with the first non-trivial case n=4. Then the
two problems have a size of n=2 and the only way to solve each of
them is obvious. How can we combine the intermediate results z1=x3+x2
and p1=x1+x0? Each
learner will "see" that p3=z1+p1
(see Figure 11). However, the result p2 is still missing.
Again the learner will "see" that p2=x2+p1.
The whole solution is shown in Figure 12.
![]() |
![]() |
![]() |
| Figure 11: First attempt of an improvement. | Figure 12: Real improvement. |
The learners can analyze the result. The depth is reduced from 3 to 2, while the size has been increased from 3 to 4. Now the learners are prepared to solve the problem for n=8 (see Figure 13).
![]() |
The learners draw two solutions for n = 4, one for x7,...,x4, the other one for x3,...,x0. Then the outputs p0,...,p3 are computed and a discussion should show that pi=qi+p3 for i>3.
Formulation of the algorithm
Based on the experiences for n=4 and n=8 small teams
of learners are asked to generalize these experiences and to formulate
an algorithm for general n=2k. The proposals are discussed
leading to the following algorithm.
Algorithm
Analysis of the algorithm
The description of the algorithm simplifies the analysis. Recursive
algorithms lead to recursive equations for the resources. Let D(n)
and C(n) be the depth and the size, respectively. By definition
of the algorithm,
D(1)=0 and C(1)=0. In Step 1, we have two
subproblems of size n/2. Hence, the size equals 2.C(n/2).
However, the problems are solved in parallel implying that the depth is
only D(n/2). In Step 2, we have
n/2 operations which
are performed in parallel, i.e., in depth 1. Hence,
Improved algorithm
The algorithm presented in Section 3 reduces the size from (1/2)n
log n to linear at the cost of doubling the depth. This can be taught
in an advanced course. The main idea is to reduce the input size from n
to n/2 by constructing pairs. Then the problem is solved recursively
with this reduced input size. However, we only obtain the results p2i
with an even index. This again can be deduced easily from graphical representations.
The last idea is that all p2i+1=x2i+1=p2i
can be computed in parallel.
Additional methodical proposals
A course on prefix algorithms allows many discussions between the learners
and the teacher. The learners have a good chance to produce results and
it is even likely that they produce different solutions. The solutions
can be presented graphically for small n and the teacher can control
whether all learners can apply the algorithms. Afterwards, a discussion
shows the advantages and disadvantages of the different algorithms.
This all is possible on a blackboard or with an overhead projector. However, the projector supports the power of copying the algorithm for the right half of the input to work also on the left half of the input. Moreover, a last slide shows how the solutions of the subproblems are stuck together.
If only few recursive algorithms have been taught before, a role play can show what is really going on. For n=8, seven learners or players are involved. Their tables can be arranged like a complete binary tree with eight leaves (see Figure 14).
![]() |
Now we see an iterative version of the recursive solution. Player Pi,j is responsible for solving the problem for xj,...,xi. Player P0,7 partitions the problems and passes the subproblems to the children players which do the same until problems of size 1 have reached the leaves. These problems are recognized as solved. In the second round, players stick the solutions for the subproblems together (they apply Step 2 of the algorithm) and pass the solution to the parent. Finally, P0,7 holds the solution of the problem.
Duration
Recursion is a difficult subject. Roberts (1987) (as cited by Baumann
(1996)) reports: "At the first introduction [of the recursion] the learners
often respond with a dislike against this idea, so as if they are confronted
with magic and not with a new programming method." Hence, learners have
to see a series of recursive algorithms to be convinced of its value. The
first recursive algorithm needs a lot of time, but the time for each further
algorithm is reduced. However, we estimate that four lessons are necessary.
Evaluation
On the average, the time to teach all prefix algorithms is six lessons.
However, the learners solve an important problem (it is important for itself
and a subprogram of the Ladner-Fischer adder) and they see different applications
of recursion. No special prerequisites are necessary and in each lesson
fundamentals of computer science are taught.
It is our strong belief that the investigation of the hardware realization of the basic arithmetic operations is a worthwhile subject of high school courses in computer science. The reasons are manifold.
First of all, the subject is without any reasonable doubt fundamental. No special and long-winded motivation is necessary. The learner will accept that each processor needs an ALU (arithmetic logic unit) and has routines to do arithmetics. However, she or he may have the objection that the subject is too simple to be considered. We all know the school methods and most of the learners believe that these methods are the only or at least the only reasonable methods for the arithmetic operations. The first message therefore is fundamental. Good solutions for humans may be no good solutions for computers and vice versa. Computers use other algorithms for the basic arithmetic operations than humans do. Problems that seem to be solved for ever turn out to be of essential nowadays importance. Everybody has to overcome her or his strong belief that she or he knows "everything" about arithmetics. This is an experience which should train the learner to doubt in other real world situations whether the obvious way is the only one or the best one. This is one of the few situations where computer science courses lead to insights useful in the everyday life.
The subject combines computer science disciplines like computer architecture, hardware design, analysis of algorithms, data structures, parallelization, and complexity. It is easy to formalize the problems, since circuits, circuit size and circuit depth can be introduced easily. It is an advantage that circuits are graphs (with some extra information) and have a graphical and concrete realization. Nevertheless, it is necessary to stress the fact that one has to be sure about the aims of optimization before one starts to look for a good or optimal solution. It is perhaps the first time that the learner is confronted with a multi-objective optimization problem, a situation which is the typical one in real world optimization. A solution which only optimizes size or depth cannot be used as a practical solution. Nevertheless, it may be the starting point for further investigations. There is another motivating aspect. After having heard that the dividers of modern computers work differently from the school method, an interested learner likes to see the solution realized in processors she or he knows (like the Pentium processors). The fact that such big companies produce bugs leading to a financial disaster (450 million $) should make the subject thrilling. This directly leads to the often ignored subject of verification. We strongly believe that high school courses in computer science have to confront the learner with the verification problem. The early discussion of this subject is necessary to train computer scientists feeling responsible for the correctness of their products and to produce clients who do not accept that hardware and especially software products are faulty and that the client has to pay for improvements. Altogether, the learning goals are not restricted to the core of the problem. There are several much more general aspects in teaching the considered subject.
However, the presented solutions contain many issues and methods which are typical in computer science teaching. First, the learner gets skilled in algorithmic thinking. It is a highly creative job to design algorithms which differ from the mainstream ideas. Nobody expects that one can avoid the bit-by-bit multiplication in multipliers. The learner sees that one can beat (sometimes) obvious bounds - like the n2 size bound for multipliers.
However, surprising new solutions contain well-known ideas and design principles. The learner is trained to apply the following techniques: modularization, divide-and-conquer, dynamic programming, table-look-up, approximation, and rounding. Some algorithms are recursive and others are iterative ones. It is good to see that the naive application of recursive algorithms leads to a computational overhead, since the same subproblems are solved again and again. An analysis of the resources spent by algorithms turns out to be necessary to decide which solution is the better one. The subject contains many algorithms whose analysis is easy but there are also some advanced problems. It turns out that it would be much harder to perform an exact analysis and that it is often sufficient to perform an asymptotic analysis (with some control of the constants).
We point out some special learning goals:
Because of the mathematical origin of the problems the subject has an interdisciplinary flavor. Some people may get for the first time an access to the "world of numbers". Another interdisciplinary aspect is the bridge to engineering disciplines. Hardware realization also is an issue of electrical engineering. In any case, a message is that computer science cannot be reduced to programming. Moreover, the considered solutions do not depend on the technology (as long as we investigate electronic components) and methods do not become antiquated quickly (the Pentium divider is based on an idea from the sixties).
We hope that we have convinced the reader that the subject is not too difficult to be taught in high school courses, although we admit that the learner has to struggle in order to follow all arguments. We believe that nowadays computer science courses are no challenge for the talented learner. Here she or he is faced with such a challenge. Nevertheless, any interested learner can follow the course. It is an advantage that even those who are very preoccupied with computers do not have an advantage for this subject. The teacher can decide to omit some of the algorithms. In any case, the subject shows by examples how scientists solve problems. Hence, the discussion of the hardware realization of the arithmetic operations is a preparatory course for scientific learning at universities.
The teacher may use different teaching forms. She or he may ask for ideas and discuss ideas presented by learners. In some situations it will be necessary that the teacher presents a method. However, the analysis can be worked out in a dialogue between the teacher and the learners. The learner can visualize the solution for small n in detail which supports her or his understanding. Teams of learners can cooperate. The information flow of algorithms can be illustrated by role plays where learners or groups of learners are responsible for certain modules or levels of recursion. Kersting (1999) has worked out a course in detail which is suitable for the German school system.
b)
(
c)
= NOT(a). We assume that 
c
can be realized as a basic binary operation. Then a selection circuit has
size 3 and depth 2. A recursive description of the CS-method is the following.
Base of recursion: The addition of two bits without a carry can be performed
by a half adder. The addition of two bits and a carry bit 1 can be done
by c = x
y and s
= x
y (
= NEXOR). The size for both computations is 4 and the depth equals 1.
The general task is to compute the sum s of x, y and a bit c. We partition x = (x", x') and y = (y", y') into two blocks of equal size. Then we apply the algorithm recursively to compute in parallel
| - the sum of x', y', and c,
- the sum of x", y", and 0, - the sum of x", y", and 1. |
n1.58.The iterative version can be described as follows. Level 0 contains the base of recursion as before. Level t considers the partition of x and y into n/2t blocks of length 2t each. The sum of the corresponding blocks with and without carry is computed using the results of the two subblocks from the previous level using the method explained in the recursive version of the algorithm. This sounds complicated. It is easy to explain the algorithm using an example (see Figure 15).
![]() |
The first line of each level contains the results for the value 0 of the carry bit and the second line contains the result for a carry bit equal to 1. We consider the part of the computation which is marked in Figure 15. We have to compute (0,1,0,0)+(0,0,1,0)+c for c=0 and c=1. The last two bits are known, since we have computed (0,0)+(1,0)+c on the last level. Hence, we are interested in the leading three bits. We also know the results for (0,1)+(0,0)+c', c'=0 and c'=1, from the last level. Here c' is the carry from the previous block and c' depends on c. Since the leading bits of the results 010 and 011 (last level, previous block) are 0, we have in both cases c' = 0 and get in both cases the result of (1,0)+(0,0)+0. This iterative tableau also simplifies the analysis. Level 0 has depth 1 and each other level has depth 2 (the two lines of each block can be computed in parallel).
The exact size equals
| - compute p1 = | x"| . | y"| by recursion,
- compute p2 = | x'| . | y'| by recursion, - compute s1 = p1 + p2, - compute s2 = | x"| + | x'|, - compute s3 = | y"| + | y'|, - compute p3 = p1 . p2 by recursion, - compute the result as p3 - s1 (the subtraction is easy, since it is known that the result is not negative). |
| - 4 A/S(n) (addition/subtraction of numbers of a bit length bounded
above by n) which can be performed in size 4.c.n
for some constant c,
- 3.4 A/S(n/2) on level 1 of the recursion whose cost is bounded by 3.4.c.n/2, - 32.4 A/S(n/22) on level 2 of the recursion, cost 32.4.c.n/22, ... - 3m.4 A/S(n/2m) on level m of the recursion, cost 3m.4.c.n/2m. |


n1.58 (see the discussion
on the conditional sum adder). Hence, the simplified analysis leads to
an upper bound of the circuit size of
(nlog 3).
(nlog
3).
{-3,
-2, -1, 0, +1, +2, +3}. Its radix-4 value equals

The reverse transformation leads to a subtraction if we group the positive and the negative components separately, e.g.,
| +3 | -2 | +1 | -1 | -3 | -2 | 0 | +2 | ||
![]() |
11 | 00 | 01 | 00 | 00 | 00 | 00 | 10 | |
| - | 00 | 10 | 00 | 01 | 11 | 10 | 00 | 00 |
The multiplication by (- 1) is obvious and therefore, subtractions can be replaced by additions. The crucial step is the addition of two numbers in radix-4 representation in constant depth. This seems to be difficult, since carries are possible, e.g., 3+3=6 and even 3+1=4 leading to forbidden numbers. The solution again is simple and ingenious.
In the first step we perform an add(2
2)-step
which seems to be no progress. However, we use the redundancy of the representation
to choose the sum parts (no longer sum bits) and the carries in such a
way that the next add(2
2)-step
guarantees that all carries are 0. Hence, two add(2
2)-steps
performed in a well chosen way realize an add(2
1)-step.
Figure 16 describes the choice of the sum parts and the carries. The sum
s
of two numbers contained in {
-3, -2, -1, 0, +1, +2, +3} is contained in {-6,...,
+6}.
![]() |
The surprising and crucial decision is to represent +3 as (-1).40+(+1).41 and not in the more natural way (+3).40+(0).41. The representation of -3 is chosen in the analogous way. The effect of this choice is that all sum parts are contained in {-2, -1, 0, +1, +2} and all carries are contained in {-1, 0, +1}. Hence, in the next step we have to add a sum part and a carry leading to a value in { -3, -2, -1, 0, +1, +2, +3} implying that the sum can be represented without carry. Figure 17 shows an example.
![]() |
Hence, all hardware implementations can work with radix-4 representations implying that additions and subtractions (and also multiplications by powers of 2, i.e., shifts for the usual binary representation) can be performed in constant depth. Only the final result has to be transformed with a Ladner-Fischer subtraction into a binary representation. This implies that the multipliers using the Karatsuba and Ofman algorithm or Schönhage and Strassen algorithm or any mixed algorithm can be realized in logarithmic depth.


be strictly decreasing (f'(x)<0) and convex (f"(x)>0),
f(a)>0,
and f(b)<0 (see Figure 18). Then f has a unique
zero z*
[a,b]
which can be approximated by Newton's method in the following way. Let
f(zi)>0,
let T be the tangent touching
f at zi,
and let zi+1 be chosen such that T(zi+1)=0.
Thenzi<zi+1<z*
and we have obtained a better approximation of z*.
![]() |
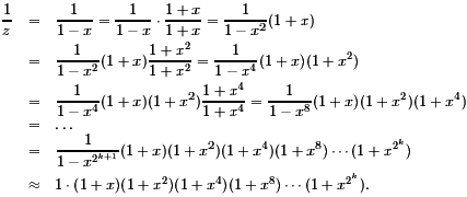
Division is the composition of computing the inverse and multiplication. Hence, we consider the computation of the inverse z-1 of z. This is the unique zero of the strictly decreasing, convex function f(x)=x-1-z. Simple calculation shows that
=z-1-zi
be the error of our approximation. We may assume that (after some appropriate
shifts) 1/2
z<1
and 1<z-1
2.
Then z0=1 is an appropriate first approximation such
that 
1.
A simple three-lines-computation (see Wegener(1996)) proves, that
1/2
and
log
n
+1
rounds are sufficient to obtain n correct bits.
Here one can discuss some numerical aspects. If z and zi
are n-bit numbers, then z.z2i
is a (3n)-bit number and after some rounds we work with very long
numbers. The solution is to round the intermediate results in such a way
that the property zi<z* is guaranteed.
Working with numbers of bit length 2n the number of rounds has to
be increased by a small amount and is still O(log
n). Then
we have O(log n) sequential shifts, multiplications and subtractions.
Hence, the depth is O(log2n)
and the size is by a factor of O(log n) larger than the size
of the multiplier which is used. Quite careful estimations show that three
rounds with bit length 6 are sufficient to obtain an error of less than
1/4. Afterwards
log
n
rounds are sufficient to decrease the error to 2-n even if we
work in the ith round with numbers of bit length 2i+1+3.
This is a subject which should not be considered in detail. The final result
of the detailed investigations is that the bit length in the first rounds
is small enough such that the size of the resulting divider is for all
considered multipliers only by a constant factor larger than the n-bit
multiplier of the considered type. The depth is O(log2n).
z<1.
Let x=1-z. Then 0<x
1/2
and

The last step is the essential one. Since x
1/2, x2k+1
is very small (if k is not too small) and 1-x2k+1
can be approximated by 1. We are left with 2k multiplications
| - x2, x4,..., x2k by iterative squaring,
- the computation of 1+x2m from x2m is for free, since x2m<1, - the computation of the product of all (1 + x2m), 0 m k. |
log(n+2)
-1
and to work with s-bit numbers for s=n+4
log
k
.